
蛍光分光光度計・蛍光寿命測定装置
蛍光異方性を用いたアプリケーション

- 図5 Lフォーマットでの蛍光偏光の説明図 各偏光子の垂直方向(V)および水平方向(H)を示す。
蛍光分子に偏光が当たると偏光蛍光が発生するが,次第に非偏光蛍光に戻り,その速度は回転拡散やその他の要因に依存する。“蛍光異方性”は偏光に直接関連しており,全光強度に対する偏光成分の比として定義される。蛍光分光光度計に偏光子ユニットを装着して,励起側の偏光子と発光側の偏光子を共に垂直方向に配置したときの発光強度をIVV,共に水平方向に配置したときの発光強度をIHH,励起側の偏光子を水平方向,発光側の偏光子を垂直方向に配置したときの発光強度をIHV,励起側の偏光子を垂直方向に,発光側の偏光子を水平方向に配置したときの発光強度をIVHとする。基本的な偏光子の設定(Lフォーマット)を図5に示す。蛍光分光光度計FluoroMax™-4では,自動偏光子ユニットをアクセサリーとして装着することで,Lフォーマットでの偏光測定を行うことができる。
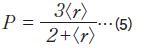
蛍光異方性<r>は 式(3)で定義される[5]。
このG,つまりGファクターは式(4)で定義され,
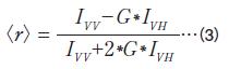
蛍光異方性<r>と偏光Pとの関係は式(5)で示される。
蛍光異方性<r>または偏光Pを決定するには,各偏光子 の方位毎の4つの強度測定が必要である。蛍光異方性の測定により,分子の大きさや形状,また蛍光団近傍の局所的粘度に関する情報が得られ,またポリマーやその他の巨大分子のサイズ変化に関する知見も得ることができる。たんぱく質とリガンドの相互作用やバインディングアッセイを調べることができる。蛍光基の寿命 決定にも利用される。R N Aを加水分解する酵素としてリボヌクレアーゼ(RNase)がある。典型的なRNaseプローブにはコンタミネーションの検出が困難であるという問題がある。高感度の蛍光偏光法では,結果をより特定しやすい。フルオレセインで標識したRNA( F-RNA)をRNase Aにより37℃で1時間以上分解した。反応は0.125%ドデシル硫酸ナトリウム溶液(pH 8.0)においてTris-HClで停止させた。反応式は式(6)のとおりである。
RNaseがRNAを分解して,より小さく回転自由度の大きい分子断片を生ずることで,異方性が低下したものと推定される。この推定は,図6の結果により裏付けられた。標識RNAへのRNase添加量が増加するにつれて偏光度は低下し分解効果を示した。

- 図6 25 ngフルオレセインで標識されたRNA に添加されたRNaseの量と偏光度との関係 :完全に加水分解するため1時間以上経過した後にデータを測定した。RNase添加量の増加とともに異方性が低下することはRNAの断片化の進行を示している。
おわりに
蛍光分光光度計 FluoroMax™を用いれば,モレキュラービーコンとDNA等の分子間の生化学的相互作用を研究するための高感度蛍光スペクトル測定が可能となる。また,ゲート遅延を伴うシグナル検出機能を有するFluoroMax™-4Pを用いれば,エネルギー移動など物質の物理的,化学的特性に関する情報を得ることができる。自動偏光子をオプション装備したFluoroMax™-4では,相互作用研究のための偏光測定に対応できる。さらには時間相関単一光子計数方式の時間分解寿命ユニットを搭載すれば,蛍光およびリン光寿命測定に迅速に対応できる。
Readout No.34 January 2009
当アプリケーションノートPDF版はこちら
蛍光分光光度計FluoroMax™-4の生物学および 生化学分野のアプリケーションについて
Lin Chandler
HORIBA Jobin Yvon Inc.
Fluorescence, Molecular and Microanalysis Division
Senior Scientist Spex
Ph.D.
Stephen M. Cohen
HORIBA Jobin Yvon Inc.
Molecular and Microanalysis Division
Technical Writer
Ph.D.
参考文献
[ 1 ] X. Liu, et al., Anal. Biochem. 283, 56-63(2000).
[ 2 ] X. Fang, et al., Anal. Chem. 72(14), 3280-3285(2000).
[ 3 ] X. Fang, et al., Anal. Chem. 72(23), 747A- 753A(2000).
[ 4 ] Joseph R. Lackowicz, Principles of Fluorescence Spectroscopy, 3rd ed., New York, Springer, p. 446(2006).
[ 5 ] Joseph R. Lackowicz, Principles of Fluorescence Spectroscopy, 3rd ed., New York, Springer, pp. 353-354, 361-364(2006)
